Karboksilli Asitler Ve Kimyasal Özellikleri Nelerdir?
Karboksilli Asitler Ve Kimyasal Özellikleri
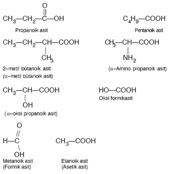
Karboksilli asitler günlük hayatımızda karşımıza çeşitli şekillerde çıkabilen bileşikler arasında yer almaktadır. Yapılarında karboksil grubu bir madde bulunduran organik bileşikler olarak tanımladığımız bu asitleri iki ayrı grupta inceleyebilmemiz mümkündür. Yapılarında bir adet -COOH grubu taşımakta olan asitlere monokarboksilli, birden fazla -COOH grubu taşıyanlara ise polikarboksilli asitler adı verilmektedir.

Karbonoksilli asitlerin IUPAC sistemine göre türedikleri alkan adının sonuna "-oik" asit eki getirilerek adlandırıldıklarını görebilmek mümkündür. Ana zincirin karboksil karbonundan başlanarak numaralandırıldıklarını ve varsa bağlı olan gruplarının da yerlerinin belirtildiğini görebilmek mümkündür. Dikarboksilli asitlere baktığımız zaman ise molekülünde bulunan C atomu sayısına karşılık gelen alkan adından sonra -dioik asit ekinin getirildiğini görebiliyoruz.
Genel olarak baktığımız zaman birçok organik asidin yaygın olarak kullanıldığı bir adı bulunmaktadır ve bunların sistematik adlarından daha çok kullanıldıklarını görebilmek söz konusudur. Bu bağlamda halkalı yapıdaki karbonoksilli asitler halkanın adından sonra bu asitleri tanımlamakta kullanılan sözcükler getirilmektedir.
Karbonoksilli Asitleri Elde Etme Yolları
- Primer alkollerin iki kademe yükseltilmesi ile oluştukları görülür.
- Grignard bileşiklerinin CO2 (karbondioksit) ile tepkimeye sokulmasından sonra oluşan ürünün asidik bir ortam içerisinde hidroliz edilmesi sonucunda oluşur.
- Asit halojenürlerin asidik ortamda hidroliz edilmesine bağlı olarak bu asitlerin oluşması mümkündür.
Karboksilli Asitlerin Fiziksel Özellikleri
- Küçük üyelerinin renksiz, keskin ve çoğunlukla da kötü kokulu oldukları görülür.
- Bu asitlerin molekülleri polar yapıdadır ve moleküller arası hidrojen bağlarını yaptıkları görülür.
- İki moleküllü yapıda olabilen bu bileşikler mol kütleleri aynı olan alkollere göre daha yüksek sıcaklıkta kaynamaktadır.
- Bu bileşiklerin ilk dört üyesinin sudaki çözünürlüklerinin sınırsız olduğu görülür.
Karboksilli Asitlerin Kimyasal Özellikler
- Zayıf asit özelliği gösterirler.
- Aktif metallerle tepkimeye girmeleri sonucunda H2 gazı açığa çıkarırlar.
- Bazlarla tepkimeye girmeleri sonucunda tuz oluşturmaktadırlar.
- İki karboksilli asit molekülünün nem çekici maddelerle bir H2O (Su) molekülü çekilmesi sonucunda asit anhidritleri oluşmaktadır.
- PCI3, PCI5 veya SOCI2 ile tepkimeye girmeleri durumunda OH- grubunun yerine CI atomunun geçtiği ve açık klorürleri meydana getirdiği görülür.
- Kuvvetli indirgenlerin kullanılması ile bu asitlerin birincil alkollere kadar indirgenebilmeleri mümkün olmaktadır.